Simultaneous RNA and Chromatin Profiling at Single-Cell Resolution

Epigenome Technologies delivers Paired-Tag programs that profile histone modifications, transcription factors, and gene transcription from the same cell without computational integration. We qualify antibodies, optimize nuclei handling, and return dual cell-by-peak and cell-by-gene matrices that reveal how chromatin state drives transcriptional heterogeneity.

True Multi-Modal Measurement

Chromatin and RNA from the same cell

Histone modifications, transcription factors, and gene expression are profiled simultaneously without computational integration.

Built for Cellular Heterogeneity

Cell-state resolution preserved

Paired chromatin and transcript data reveal regulatory programs driving cell-to-cell variability.

Scalable Study Design

From pilot to cohort

Single-sample and multiplexed formats support both exploratory studies and larger translational programs.

Paired-Tag: Dual-Modality Single-Cell Profiling

Paired-Tag workflow diagram showing simultaneous capture of histone modifications and RNA from single cells
Paired-Tag captures DNA binding profiles and RNA transcripts from the same cell in a single workflow.

Paired-Tag simultaneously captures histone modifications, transcription factors, or chromatin remodelers alongside full-length transcript sequences from individual cells. The dual readout reveals how chromatin state drives gene expression decisions without requiring computational integration or multi-sample inference.

Where teams use the program

  • Mechanistic cancer biology linking chromatin state to tumor heterogeneity and treatment resistance.
  • Immunology studies characterizing how epigenetic remodeling enables cell-state transitions.
  • Developmental biology tracking chromatin-to-transcript coordination during differentiation.
  • Rare-cell epigenetics without FACS sorting or enrichment biases.
  • Perturbation validation studies measuring on-target chromatin and off-target transcriptional effects.
UMAP embeddings of RNA and RNA+H3K27ac in human brain
Dual-modality histone + RNA profiling refines annotation and identifies new states.

Collaboration model

  • Joint design sessions align target antibodies, cell counts, sequencing depth, and platform selection.
  • Antibody validation runs confirm signal-to-noise before full cohort commitment.
  • Project scientists remain embedded through QC reviews, data interpretation, and reporting.

Included interpretation

  • Cell-type clustering and dual epigenetic-transcriptional signature annotation.
  • Chromatin-to-gene linkage analysis revealing direct regulatory relationships.
  • Differential epigenetic and expression analysis with joint visualization.
  • Actionable slide-ready visualizations delivered alongside raw outputs.

Aligning platform to throughput and study design

Platform Cat. No. Best For Throughput
Droplet Paired-Tag DPS201 Focused discovery; single-sample or small cohorts with deep characterization 1 sample per 10x lane; 5,000–10,000 cells/sample Get Quote
Multiplex Paired-Tag MDPS201 Large cohorts and high sample throughput; patient/donor multiplexing via barcoding 8–12 samples per run; 500–2,000 cells/sample Get Quote

Droplet Paired-Tag (Standard Throughput)

Integration of a single Droplet Paired-Tag Run (RNA) with 10X scRNA
Droplet Paired-Tag integrates smoothly with 10X Chromium scRNA-Seq data.
  • Dedicated 10x lane per sample for maximum signal-to-noise
  • Recommended for small and/or low-input cohorts.
  • Highest per-cell sequencing depth and fragment complexity

Multiplex Paired-Tag (High Throughput)

IGV genome browser tracks showing multiplexed Paired-Tag H3K27ac profiles across multiple samples
Multiplexed samples maintain high signal quality with accurate demultiplexing.
  • Custom oligo barcoding for unambiguous sample demultiplexing
  • Ideal for cohorts with 4+ samples or translational studies
  • Up to 8K nuclei / sample; 30K nuclei / lane.

Transparent workflow and checkpoints

IGV of single-cell histone modification tracks and their summed pseudobulk
High concordance between histone modification data and transcriptomic cell type.
  1. Plan & validate antibodies

    We confirm target antibodies, cell counts, barcoding strategy (if multiplexed), and nuclei handling; optional antibody validation runs ensure signal quality before full cohort commitment.

  2. Prepare & construct

    Nuclei isolation, antibody staining, RNA capture, and droplet encapsulation with QC on viability, tagmentation efficiency, RNA complexity, and barcode distribution.

  3. Sequence

    Paired-end runs on NovaSeq or NextSeq platforms; multiplexed samples demultiplexed via cell-hash barcodes with per-sample lane balancing.

  4. Interpret

    Automated cell calling, peak annotation, transcript quantification, and chromatin-transcript linkage analysis with data packages aligned to your preferred environment.

Operational cadence

  • Day 3 antibody validation QC review (if requested) with your project scientist.
  • Day 8 nuclei prep and library construction status with preliminary fragment and RNA complexity profiles.
  • Day 14 library acceptance with tagmentation efficiency, RNA yield, and barcode distribution reports.
  • Day 18 FASTQ, cell-by-peak, and cell-by-gene matrices delivered; day 20 interpretive briefing.

Deep epigenetic insight

Paired-Tag data in PBMC showing both RNA and H3K27ac UMAP
Paired-Tag reveals epigenetic heterogeneity underlying transcriptonally equivalent cell populations.

High Quality Data

H3K4me1/H3K4me3 tsse for bulk and single-cell pseudobulk
High-complexity single-cell libraries with no reduction in quality over bulk.
  • TSS enrichment distributions with cohort medians and antibody-specific benchmarks.
  • RNA mapping rates and gene detection summaries reviewed prior to sequencing approval.
  • Chromatin fragment size and nucleosome phasing profiles for every sample.
  • Cell-barcode complexity and background noise assessments with per-sample validation.
  • Dual-modality concordance metrics showing chromatin-transcript linkage quality.

Delivery package

Four-panel QC dashboard showing TSS enrichment, RNA mapping rate, fragment size distribution, and cell barcode complexity for Paired-Tag runs
QC dashboards highlight dual-modality performance including TSS enrichment, RNA mapping, and cell barcode metrics.
  • Sequencing-ready libraries with concentration, fragment distribution, and complexity documentation.
  • FASTQ files, cell-by-peak matrices, cell-by-gene matrices, and metadata formatted for Seurat, Scanpy, or custom pipelines.
  • Interpretive report summarizing cell-type clustering, dual differential analysis, chromatin-transcript linkage, and regulatory annotations.
H3K4me3/H3K27me3 histone tracks from multiple cell types, IGV screenshot
Paired-Tag enables identification of cell-specific bivalent chromatin states.
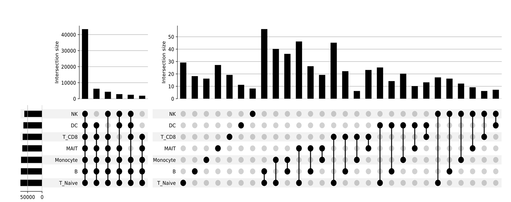
Upset plot showing H3K4me3 state sharing across cell types
Explore chromatin state sharing (here: H3K4me3) of cis regulatory elements between cell states.

Pancreatic Islet Cell Heterogeneity in Diabetes

Paired-Tag profiling of pancreatic islets has revealed novel insights into β-cell heterogeneity and stress responses directly relevant to diabetes pathogenesis. The assay uncovered distinct β-cell subtypes derived from biochemically and epigenetically defined progenitors, demonstrating how histone modification patterns and epigenetic dosage shape functional specialization in insulin-secreting cells.

Figure from Wang et al., showing Paired-Tag UMAP embeddings in pancreatic islets
Excerpt of Figure 2 from Wang, et al. (doi.org/10.1038/s41467-024-53717-0) displaying Paired-Tag data from pancreatic islet cells.

Key Findings

  • Identified β-cell subtypes with distinct epigenetic and transcriptional signatures
  • Mapped epigenetic dysregulation underlying β-cell stress during autoimmune attack in Type 1 diabetes
  • Revealed regulatory networks far more detailed than bulk approaches
  • Advanced target identification for therapeutic intervention

Prenatal E-Cigarette Exposure and Brain Development

A recent study applying Paired-Tag to the prenatal mouse brain exposed to e-cigarette aerosols delineated the epigenetic consequences of environmental exposure on neurodevelopment. The assay revealed altered histone modification landscapes at enhancer and promoter regions within excitatory neurons and glia, associated with disrupted gene expression programs critical for brain development.

Figure from Chen et al., showing Paired-Tag UMAP embeddings in e-cigarette exposed rat cortex
Excerpt of Figure 1 from Chen, et al. (doi.org/10.1038/s42003-025-08683-8) displaying Paired-Tag data from rat cortex.

Key Findings

  • Mapped cell-type-specific epigenetic vulnerabilities to prenatal exposures
  • Linked chromatin changes directly to transcriptomic dysregulation
  • Identified molecular pathways mediating environmental toxin impact
  • Revealed mechanistic basis for potential long-term neurodevelopmental impairments

Partner with our scientists

Share your target antibodies, cohort size, and required timelines. We will return a scoped Paired-Tag brief outlining platform selection (Droplet vs Multiplex), antibody validation strategy, multiplexing approach (if applicable), QC checkpoints, and downstream reporting.

  • Sample requirements: 100K–200K nuclei preferred; low-input contingencies available upon consultation.
  • Storage guidance: Fresh or cryopreserved nuclei accepted with documented handling.
  • Data options: Raw FASTQ, cell-by-peak/gene matrices, and interpretive outputs available individually or bundled.
  • Support: Project scientists provide experimental planning and guidance, data reviews, and troubleshooting.