scCUT&Tag Kits — Single-Cell Epigenetic Profiling

Profile histone modifications, transcription factors, and chromatin-associated proteins in individual cells without flow sorting. Flexible antibody targeting across 10x Chromium, BD Rhapsody, and Illumina PIPseq platforms. Ultra-low input, production-ready quality control, and expert support included.

Cell Recovery

70–90%

From input population; typical yield 5,000–50,000+ cells per experiment

Quality Gate

Optimized QC

Fragment distribution and platform-specific benchmarks per antibody

Platforms

3 Options

10x Chromium, BD Rhapsody, Illumina PIPseq—choose your workflow

Choose Your Kit

End-to-end scCUT&Tag workflow diagram
scCUT&Tag workflow: cell-resolved CUT&Tag across droplet, microwell, or emulsion platforms.
Product Catalogue # Platform Size Action
Droplet scCUT&Tag SCT8101 10x Chromium 8 Reactions Order
BD Rhapsody-compatible scCUT&Tag BCT8101 BD Rhapsody 8 Reactions Order
Emulsion scCUT&Tag ECT4101 Illumina PIPseq 4 Reactions Order
scCUT&Tag2K SC2K8101 Illumina PIPseq 2K 8 Reactions Pre-Order

Need guidance? Compare all kit options →

What You Need to Get Started

  • Validated Antibody: Primary antibody targeting your histone modification, transcription factor, or chromatin protein of interest
  • Single-Cell Platform: 10x Chromium ATAC system, BD Rhapsody ATAC, or Illumina PIPseq (choose your platform)
  • Reagents: Platform-appropriate library prep kit (10x ATAC, BD ATAC, or PIPseq)
  • Sequencing: Illumina-compatible sequencer (NovaSeq, NextSeq, or MiSeq supported)
  • Analysis Pipeline: Preferred analysis environment (Python/Scanpy, R/Seurat, ArchR, or custom)

scCUT&Tag: Single-Cell Epigenetic Profiling

Single-Cell CUT&Tag is an innovative assay that precisely measures epigenetic modifications in individual cells by targeting histone post-translational modifications (PTMs) or transcription factors (TFs). Unlike multiomic approaches that capture RNA, scCUT&Tag focuses solely on tagmented DNA, allowing for deeper coverage of epigenetic marks without the complexity of concurrent transcriptomic profiling.

Core Strengths

  • Platform compatibility: Seamlessly integrate with 10x Chromium, BD Rhapsody, or Illumina PIPseq systems.
  • Flexible targeting: Work with any validated antibody for histone modifications, transcription factors, or chromatin remodelers.
  • High sensitivity: Single-cell resolution without flow cytometry pre-enrichment or sorting.
  • Sample flexibility: Fresh, frozen, cryopreserved, or even archival FFPE samples supported.
  • Streamlined workflows: Pre-optimized protocols for leading single-cell systems reduce setup burden.
scCUT&Tag H3K4me1 clustering visualization
H3K4me1 scCUT&Tag data showing distinct cell type clustering in human PBMCs with enhancer-level resolution.
IGV screenshot of H3K4me1 scCUT&Tag
Single-cell profiling of H3K4me1 characterizes chromatin heterogeneity in PBMC.

Ideal For

  • Cell differentiation assays and developmental biology studies tracking epigenetic transitions.
  • Drug-treatment experiments and perturbation screens measuring chromatin-state responses.
  • Studies using archival FFPE tissue or other degraded RNA samples.
  • Discovery of cell-type–specific regulatory programs in complex, heterogeneous tissues.
  • Biomarker discovery linking epigenetic signatures to disease or treatment response.

Research Applications

Researchers use scCUT&Tag across developmental biology, immunology, cancer genomics, and perturbation studies to map epigenetic heterogeneity in complex tissues without flow cytometry.

Developmental Biology

Map epigenetic transitions across developmental stages and lineages. Identify cell-type–specific enhancer activity and histone mark signatures driving cell fate decisions.

Immunology & Cancer

Profile chromatin state heterogeneity in immune populations and tumor microenvironments. Link epigenetic signatures to treatment response and regulatory function.

Perturbation Studies

Validate chromatin-state responses to CRISPR knockout, drug treatment, or differentiation stimuli. Single-cell resolution without sorting or enrichment bias.

scCUT&Tag genome browser tracks showing ITGAE locus
Single-cell CUT&Tag tracks at the ITGAE locus demonstrate cell-type-specific chromatin accessibility patterns.

Choosing the Right Platform

All three platforms deliver high-quality scCUT&Tag data. Use this guide to select the platform best suited to your experimental goals, budget, and available instrumentation.

Criteria 10x Chromium BD Rhapsody Illumina PIPseq
Best For Established 10x workflows, RNA+epigenetic multiomics High-throughput discovery, large populations Platform-free flexibility, budget-conscious projects
Cell Input Range 5,000–10,000 typical 10,000–50,000+ possible Scalable 2,000–100,000 (choose kit size)
Median UMI/Cell 7,000–15,000 8,000–35,000 5,000–13,000
Cost per Reaction ~$310 ~$280 (scales favorably) ~$150–250 (lowest)
Equipment Required 10x Chromium system BD Rhapsody system Standard thermocycler + liquid handler
Data Quality Excellent; 10x-optimized Excellent; large-scale validated Excellent; cost-comparable

Choose 10x Chromium If You:

  • Have existing 10x infrastructure
  • Need RNA+epigenetic integration (Multiome)
  • Want established, widely-validated workflows
  • Require rapid turnaround (3–4 weeks)
Select This Kit

Choose BD Rhapsody If You:

  • Need maximum cell throughput (10,000–50,000+)
  • Prioritize population-scale discovery
  • Have BD system infrastructure
  • Want cost efficiency at large scale
Select This Kit

Choose Illumina PIPSeq If You:

  • Lack dedicated droplet instrumentation
  • Prioritize cost per reaction
  • Want maximum experimental flexibility
  • Are exploring methods or running pilots
Select This Kit

Request Protocols & Documentation

Access detailed protocols and technical documentation by registering with us:

Product Details

Droplet scCUT&Tag — 10x Chromium Compatible

Droplet-based scCUT&Tag enables high-throughput, single-cell profiling of epigenetic marks using the familiar 10x Chromium ATAC system. Ideal for mid-to-large scale projects requiring scalable, cell-resolved views of chromatin regulation with established workflows.

Specifications

  • Platform: 10x Genomics Chromium
  • Typical cell yield: 5,000–10,000 cells/sample
  • Median UMI/cell: 7,000–15,000 for abundant marks
  • Turnaround: 3–4 weeks (kit timeline)
  • Cost: ~$310 per reaction

Performance Highlights

  • High-complexity libraries rival or exceed scATAC-seq for abundant marks (H3K4me1, H3K27ac).
  • Optimized tagmentation chemistry preserves fragment capture while keeping background low.
  • Barcode-per-nucleus strategy maintains replicate-to-replicate reproducibility.
  • Delivers quantitative regulatory readouts suitable for enhancer or promoter-centric analyses.
Droplet scCUT&Tag UMI-rank plot
UMI-rank plot of H3K4me1 droplet scCUT&Tag on cryopreserved human PBMCs. Libraries sequenced to 10% saturation deliver median 9,500 UMI for top barcodes and 70% FFiP.
Droplet scCUT&Tag clustering example
TF-IDF–normalized promoter occupancy (H3K4me1) clustered with Scanpy highlights clean lineage separation without flow-sorting.

Advantages

  • High library complexity and robust per-cell quantification.
  • Seamless integration with 10x ATAC and Multiome workflows.
  • Clean regulatory clustering and distinct cell-type separation.
  • Compatible with standard analysis tools (Scanpy, Seurat, ArchR).
  • Multiomic-ready for paired RNA profiling.

Biological Applications

  • Resolve lineage-specific enhancer programs and transcription-factor occupancy.
  • Integrate chromatin data with scRNA-seq or scATAC-seq for multiomic interpretation.
  • Track chromatin responses to perturbations, drug treatments, or differentiation cues.
Regulatory tracks for droplet scCUT&Tag
Cell-type resolved H3K4me1 tracks around ITGAE illustrate regulatory heterogeneity across immune lineages.
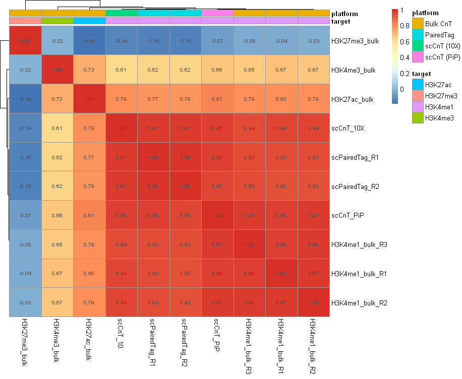
Cross-platform H3K4me1 correlation heatmap
Cross-platform comparison shows strong correlation (r > 0.92) between droplet, PIPseq, and Paired-Tag CUT&Tag datasets.

Kickstart Your Droplet Project

Combine single-cell precision with 10x workflow familiarity. Our team supports antibody validation, nuclei prep, sequencing, and analysis-ready deliverables.

BD Rhapsody scCUT&Tag — High-Throughput Profiling

BD Rhapsody–based scCUT&Tag extends single-cell chromatin profiling to tens of thousands of individual cells using micro-well barcoding. Ideal for population-scale studies requiring comprehensive sampling of cellular heterogeneity across complex tissues.

BD scCUT&Tag UMI-rank plot
H3K27me3 BD scCUT&Tag libraries sequenced at 10% saturation identify 26k+ barcodes above 3,000 UMI and project >35k UMI at 90% saturation.

Specifications

  • Platform: BD Rhapsody ATAC
  • Typical cell yield: 10,000–50,000+ cells/sample
  • Median UMI/cell: 8,000–35,000 (platform-dependent)
  • Turnaround: 4–6 weeks (kit timeline)
  • Cost: ~$280 per reaction (cost-efficient at scale)

Advantages

  • Massively parallel profiling of tens of thousands of nuclei.
  • Efficient library construction with high UMI recovery.
  • Flexible input compatibility (fresh, frozen, or sorted).
  • Ideal for large discovery screens and population mapping.
  • Cost-effective per-cell resolution at scale.

Why BD Rhapsody Scales

  • Micro-well barcoding captures tens of thousands of nuclei per run.
  • BD ATAC chemistry maintains high signal-to-noise even at large scale.
  • Supports primary cells, cryopreserved material, and sorted populations.
  • Ideal for population mapping and comprehensive discovery studies.

Applications

  • Interrogate heterogeneous tissues (immune, neural, developmental) at scale.
  • Run perturbation or compound screens that demand broad sampling.
  • Profile patient cohorts where RNA quality is variable but chromatin is intact.
BD scCUT&Tag clustering
TF-IDF normalized H3K27me3 signal clustered with Scanpy reveals major immune populations via loss of repression at lineage marker genes.

Best For

Large tissue samples, perturbation screens, comprehensive lineage mapping, or studies prioritizing cell number and population breadth over individual cell depth.

BD scCUT&Tag regulatory tracks
Cluster-specific tracks over CD3D/CD3E and MS4A1 highlight how repression signatures delineate T and B cell states.
BD scCUT&Tag correlation heatmap
Bulk and single-cell CUT&Tag comparisons show strong correlation (r > 0.9) across technologies, validating large-scale fidelity.

Launch a BD Rhapsody Project

Partner with us to translate BD Rhapsody throughput into actionable chromatin maps. We handle nuclei prep, platform setup, sequencing, and integrative analysis.

Illumina PIPseq scCUT&Tag — Platform-Free Flexibility

Illumina PIPseq–based scCUT&Tag provides flexible, platform-independent single-cell profiling using emulsion-based barcoding. Scalable from a few thousand to 100,000+ nuclei without dependence on proprietary systems, making it ideal for exploratory studies or labs without dedicated droplet instrumentation.

PIPseq multi-omic UMAP
scCUT&Tag UMAP integrates chromatin states to resolve immune phenotypes often missed by transcriptomic workflows.

Specifications

  • Platform: Illumina PIPseq (T2, T20, or T100)
  • Typical cell yield: Flexible: 2,000–100,000 nuclei
  • Median UMI/cell: 5,000–13,000 (variable by kit)
  • Turnaround: 2–4 weeks (kit timeline)
  • Cost: ~$150–250 per reaction (lowest per-cell cost)

Flexible Profiling Modes

  • Combine chromatin with surface proteins via antibody tagging workflows.
  • Plate-based isolation protects fragile or rare cell types through preprocessing.
  • Swap antibody panels between runs to rapidly iterate hypotheses.

Advantages

  • Platform-free: No 10x or BD system required; runs on standard equipment.
  • Flexible scalability: Choose kit size matching your experiment scope.
  • Cost-effective: Lowest per-reaction and per-cell cost among all platforms.
  • Method flexibility: Enables rapid iteration and custom adaptations.
  • Accessible to all labs: No platform lock-in or system investment.

Applications

  • Flow cytometry-informed discovery of rare immune subsets.
  • Plate-based CRISPR screens demanding direct chromatin readout.
  • Biomarker validation pairing protein expression with enhancer state.
PIPseq regulatory tracks
H4K4me1 tracks across ITGAE highlight enhancer activation programs captured in across PBMC cell types.
UMI curve for PiPSeq scCUT&Tag
Low-cost, High-complexity scCUT&Tag libraries

Best For

Exploratory studies, method development, budget-conscious projects, labs without dedicated droplet systems, or researchers wanting maximum flexibility without platform constraints.

Workflow for scCUT&Tag
Straightforward workflow with only standard lab equipment.

Plan Your PIPseq Study

We provide antibody panel optimization, plate layout design, and integrated sequencing analysis to accelerate PIPseq projects from pilot through scale-up.

Ready to Profile Single-Cell Epigenomics?

Start with a kit for immediate exploration, or let our experts handle the complete workflow as a managed service.